编者按
近年来,临床实践中近视干预措施的实施呈现强劲发展势头。作为该领域的开创性研究,具有开创性意义的ATOM1和ATOM2试验已开展逾十年,其最早接受治疗的儿童受试者现已步入成年阶段。近期,在《Ophthalmology Science》期刊中的一项回顾性研究,分析了阿托品治疗儿童近视研究2(ATOM2)中初始受试者在15年随访期间视盘(ONH)形态学的变化,旨在探索儿童期使用不同浓度的阿托品治疗是否与近视进展过程中ONH的变化相关。

一、研究设计
该研究最后纳入了148名ATOM2研究受试者的长期随访数据,这些受试者在初始研究阶段接受了每日滴用浓度为0.01%、0.1%或0.5%的阿托品。在为期15年的回顾性随访研究中,研究人员采用光学相干断层扫描(OCT)技术对受试者进行了检查,对重点集中于视盘区域的结构特征进行了评估。

图1.ONH特征。a.在ATOM2基线随访时使用采集的一名参与者右眼的示例眼底照片;b.视盘中心和黄斑中心凹之间距离(DFD)、颞上动脉血管弓最上点和颞下动脉血管弓最下点之间垂直距离(VDA)以及颞侧动脉血管弓和视盘间夹角(Kappa角);c.视盘参数:水平、垂直、最小和最大直径、β区视盘旁萎缩(PPA)的最大宽度以及视网膜中央血管主干(CRVT)的位置。CRVT的位置计算方法为视盘颞侧边缘到血管主干出口点的线性距离除以水平视盘直径,得到一个无量纲比值。

图2.水平OCT B扫描中的ONH参数测量。Bruch膜开口距离(BMOD):定义为颞侧端与鼻侧端之间的距离;如果存在,还测量了视盘旁γ区以及Bruch膜向内悬垂回缩至视盘旁区域。γ区被定义为缺乏Bruch膜的视盘旁区域,即Bruch膜末端与视盘边缘之间的区域。
二、研究结果

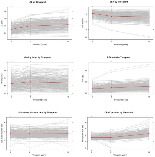
图3.眼部及ONH参数的纵向变化。该系列图表展示了眼部及ONH参数的进展过程,包括SER、AL、视盘椭圆度、β区比率(PPA)、DFD比率以及视网膜中央血管主干(CRVT)出口位置在不同时间点(0年、5年和15年)的变化情况。

图4.两名不同受试者的右眼(上图)和左眼(下图)在三个分析时间点的眼底照片示例。
1.屈光度与眼轴变化
研究结果显示,不同浓度阿托品治疗组间的ONH特征表现相似。受试者的近视屈光度随观察时间推移持续进展,基线平均等效球镜度(SE)为-4.54D,至第5年进展至-6.35D,至第15年进一步进展至-6.88D。眼轴长度(AL)亦显著增长,由基线平均25.1 mm增至第15年的26.3mm。
2.视盘参数动态演变
除VDA比率和Kappa角外,所有ONH参数在15年随访期内发生显著变化。视盘旁萎缩(PPA)区域,特别是β区最大宽度与最大视盘直径的比率,从基线平均0.19增至第15年的0.31。同时,DFD比率特别是视网膜中央血管主干(CRVT)位置也观察到显著的纵向变化:从平均1.64增加至2.23。
3.视盘变化的相关因素
多变量分析证实,年龄的增加、眼轴长度(AL)的增长和等效球镜度(SER)增加与观察到的视盘变化显著相关。具体而言,AL、SE以及PPA区域的变化与Bruch膜开口(BMO)区域或γ区的改变存在关联。此外,在15年观察期内,年龄、PPA比率以及DFD比率被发现与近视进展超过-2.00D相关联。
4.视盘旁萎缩与血管移位的时序特征
研究发现,β区比率的增加与眼轴增长同步发生。这种增长在前五年(受试者年龄约9至14岁)更为迅速,随后虽持续增加,但增速放缓(增长曲线斜率变平缓)。CRVT出口位置显示小幅度的鼻侧移位,且这种移位在观察期的后半段(受试者年龄约14至24岁)表现得更为明显。
三、潜在机制假说
研究人员为解释这些观察到的形态学变化所提出的一个假设可能是:“眼轴延长通常伴随Bruch膜开口(BMO)向黄斑方向移位,这可能解释了Bruch膜的向内悬垂回缩至视盘旁区域(即颞侧γ区),以及因水平视盘直径缩短导致的视盘形状趋向椭圆形。“
四、结论与临床意义
这项长期研究表明,近视受试者从儿童期至成年早期,其视盘呈现出进行性改变,主要表现为PPA区域(尤其是β区)扩大和CRVT向鼻侧偏移,这些变化与年龄增长和眼轴延长最为相关,所有ONH的结构变化均与ATOM2研究中应用的三种不同浓度阿托品无关。
ONH的结构改变主要与眼轴延长相关,并且ONH结构变化在眼轴增长峰值后仍会继续,基于此,研究人员建议,需持续监测ONH结构直至成年早期,这或许有助于更深入地识别可能导致远期并发症的风险因素。此外,若在疾病早期即观察到β区或γ区PPA的存在,可能预示着未来病情进展的风险升高,提示需及时采取临床干预措施以延缓眼轴增长。
期刊来源
https://www.ophthalmologyscience.org/article/S2666-9145(25)00234-9/fulltext
引用文献
Eppenberger LS, Cheong EZK, Chung J, et al. Optic nerve head changes over 15 years – from the Atropine Treatment Long-Term Assessment Study. Ophthalmol Sci. September 4, 2025. [Epub ahead of print].
声明:本文仅供医疗卫生专业人士学术交流,不代表本平台观点。该等信息不能以任何方式取代专业的医疗指导,也不应被视为诊疗建议,如果该信息被用于资讯以外的目的,本平台及作者不承担相关责任。